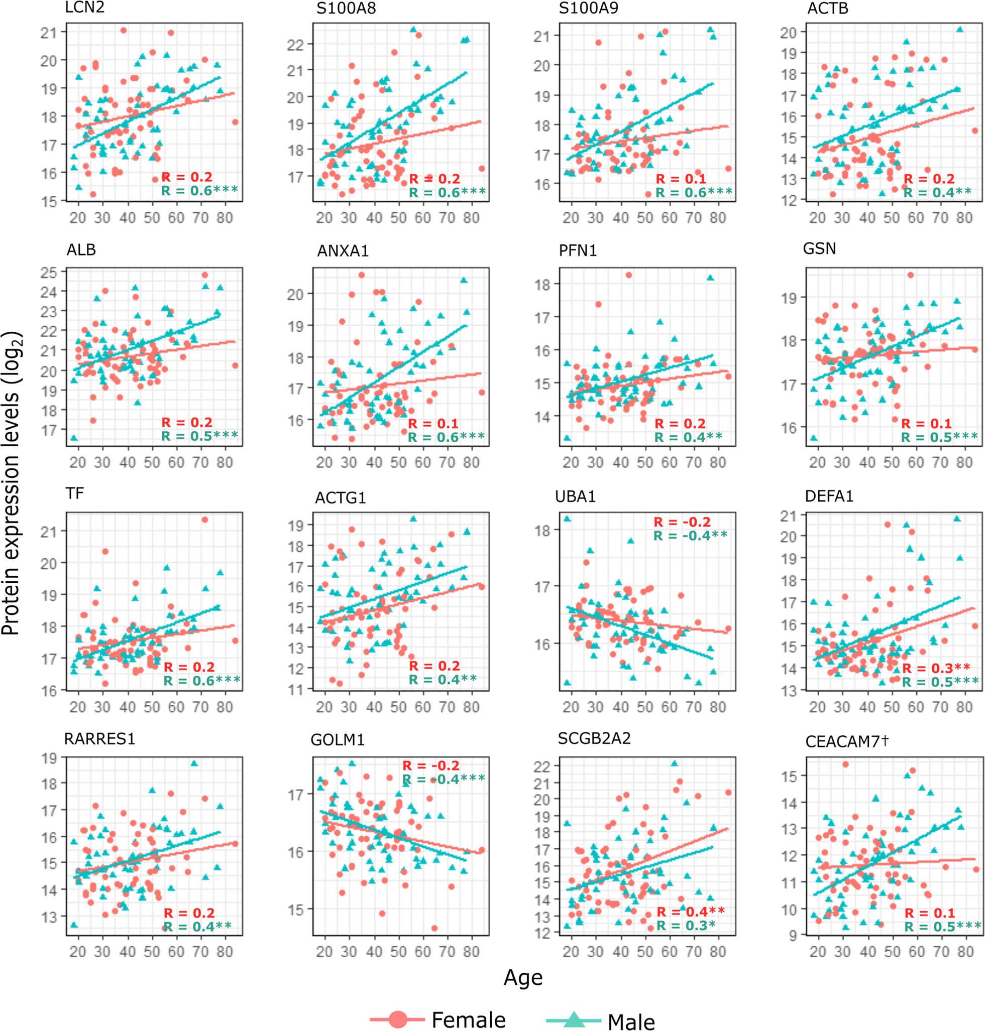
Fig. 1

Proteins correlating significantly with age. Scatter plots display the statistically significant correlations (from Table 1) between protein expression levels (y-axis) and age (x-axis). Correlation results were also evaluated for males and females separately and, unless otherwise stated, only males’ expression levels correlated significantly with age for the displayed proteins. The colour and shape of the points signify males and females, which also have individual fitted lines and corresponding Rho (R) values displayed. †CEACAM7 expression is based on only 1 unique peptide in the data. *p-value < 0.05, **p-value < 0.01, ***p-value < 0.001