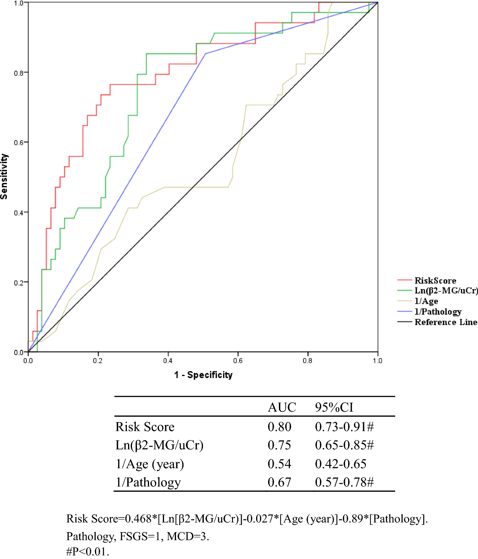
Fig. 2From: New risk score for predicting steroid resistance in patients with focal segmental glomerulosclerosis or minimal change diseaseROC curves of predicting steroid resistance in validation cohort A (N = 157)Back to article page